花溪区2023年招聘中小学教师(第二批)笔试成绩查询公告

2023-06-20 20:10|来源:金粉笔教育|热度:手机上打开
花溪区2023年公开招聘中小学教师(第二批)笔试科目《教育综合知识》阅卷工作已结束,现就笔试成绩公布及查分事项公告如下:
一、笔试成绩查询
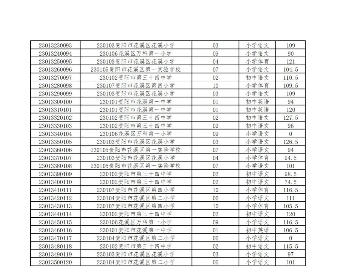
笔试成绩详见附件。
二、受理查分
需查分的考生,请于2023年6月27日9:00-15:00持《笔试准考证》和有效期内《二代居民身份证》原件,到花溪区教育局人事科(花溪区行政中心一楼B区111室)填写《查分申请表》交工作人员核查,逾期不再受理。查分结果我们将通过电话或短信告知考生,请考生务必保持电话畅通,考生因通信不畅无法取得联系的,后果由考生本人自行承担。
如成绩有误,经相关程序核准后2个工作日内通知考生,并在“花溪教育”微信公众号上进行公示。
此次查分只查考生本人笔试卷面合分是否正确,不查评卷宽严度,不重新阅评试卷。
特此公告
附件:花溪区2023年公开招聘中小学教师(第二批)笔试成绩一览表



【本文来源于网络,如有不当之处,请联系金粉笔教育反馈修改,或者进入贵州人事考试信息网进行查看】