2018年贵州农信社招聘324人报名已经进入第四天,报名首日至6月10日上午9:00,报名人数共有27051人,其中通过审核的有23746人,成功报名人数为14656人。此次报名时间为6月7日上午9:00至6月11日下午5:00。现将各个地市的报名人数统计如下。
贵阳农信社报名人数
遵义农信社报名人数
六盘水农信社报名人数
安顺农信社报名人数
毕节农信社报名人数
铜仁农信社报名人数
黔东南农信社报名人数
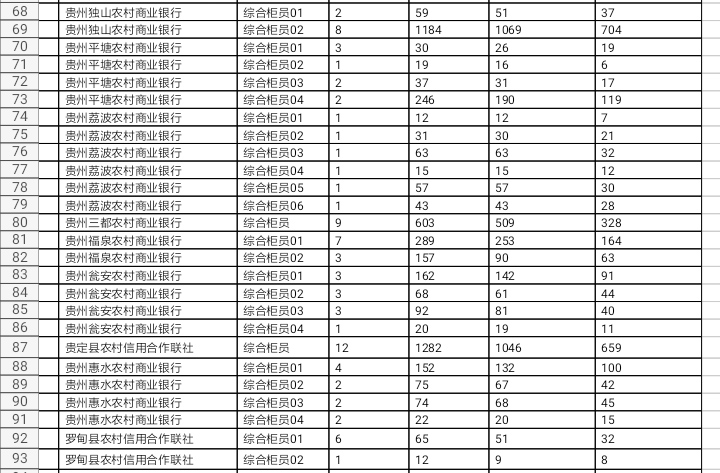
黔南农信社报名人数
黔西南农信社报名人数

2018年贵州农信社招聘324人报名已经进入第四天,报名首日至6月10日上午9:00,报名人数共有27051人,其中通过审核的有23746人,成功报名人数为14656人。此次报名时间为6月7日上午9:00至6月11日下午5:00。现将各个地市的报名人数统计如下。
贵阳农信社报名人数
遵义农信社报名人数
六盘水农信社报名人数
安顺农信社报名人数
毕节农信社报名人数
铜仁农信社报名人数
黔东南农信社报名人数
黔南农信社报名人数
黔西南农信社报名人数
